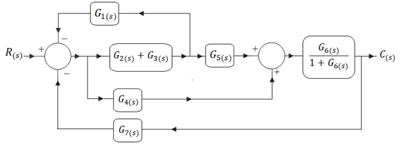
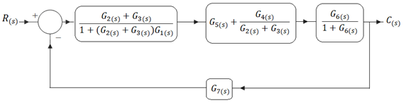
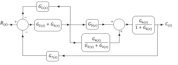
Protegido: Diagrama de Bloques – Ejercicio Resuelto 3. / Uncategorized / Por dademuchconnection@gmail.com Este contenido está protegido por contraseña. Para verlo introduce tu contraseña a continuación: Contraseña:
Protegido: El Lugar Geométrico de las Raíces con Matlab Uncategorized / By dademuchconnection@gmail.com