Dademuch Connection
Tu Plataforma Educativa para estudiar Análisis de Señales y Sistemas, Sistemas de Control, Redes Eléctricas y Electrónicas, Sistemas Mecánicos e Híbridos, Telecomunicaciones, Procesamiento de Señales, y más.
Modelado y Simulación de Sistemas
Galería 1 de ejercicios resueltos
Variables de estado. Obtener la representación en el Espacio de Estados y a partir de ella la Función de Transferencia del sistema. FT8
Calcula la expresión de la salida v0(t) en función del tiempo para el circuito RLC de la Figura 1, ante una entrada escalón unitario. P1.1
Obtener el sistema de ecuaciones que describe el comportamiento del Motor DC de la Figura 1. Obtener el diagrama de bloques del sistema y la función de transferencia a lazo abierto. EM-1
Construir modelo en Simulink del Motor DC con su carga. Modelar en base a ecuaciones en el tiempo y en base a funciones de transferencia. EM-2
Galería 2 de ejercicios resueltos
Justifica si los siguientes sistemas son Lineales e Invariantes en el tiempo. Propiedad de los sistemas. SS1-2
Determinar la Ganancia estática, La Constante de tiempo y la función de transferencia del sistema cuya respuesta al escalón unitario se muestra en la Gráfica. S1O-1
Si se busca un tiempo de asentamiento de 0.9s y un sobrepaso de 5%, ¿Cuál es la posición de los polos dominantes?. P1.3
Obtener la función de transferencia G(s)=Y(s)/R(s) en el diagrama de bloques de la Figura 1, empleando técnicas de reducción por álgebra de bloques. Encontrar la misma solución con la fórmula de Mason. DB-1
Obtener la función de transferencia G(s)=C(s)/R(s) en el diagrama de bloques de la Figura 2, empleando técnicas de reducción por álgebra de bloques. DB-2
Obtener la función de transferencia G(s)=C(s)/R(s) en el diagrama de bloques de la Figura 3, empleando técnicas de reducción por álgebra de bloques. Encontrar la misma solución con la fórmula de Mason. DB-3
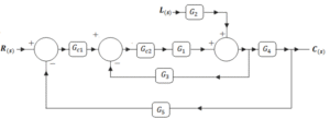
Obtener la función de transferencia G(s)=C(s)/R(s) en el diagrama de bloques de la Figura 4, empleando técnicas de reducción por álgebra de bloques. DB-4
Diseñar un Controlador PD para alcanzar un tiempo de asentamiento de 0.9s y un sobrepaso de 5%. Simular resultado en Matlab. P1.3
Galería 3 de ejercicios resueltos
Obtener la función de transferencia θ2(s)/T(s) del sistema masa-resorte-amortiguador con engranajes. FT13






























