Diagrama de Bloques – Ejercicio Resuelto 4

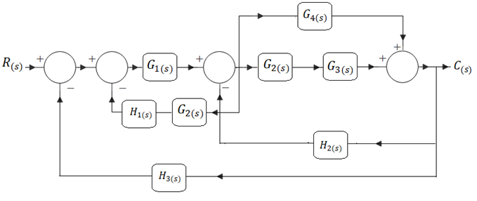
Ejercicio DB-4: Obtener la función de transferencia G(s)=C(s)/R(s)  en el diagrama de bloques de la Figura 4, empleando técnicas de reducción por álgebra de bloques.

figura 1 dbe4

Obtención de C(s)/R(s) por simplificación de diagrama de bloques.

Al resolver el siguiente ejercicio por álgebra de bloques, aplicamos las reglas de la tabla de equivalencias.


Paso 1. Pasamos el bloque G2 a la derecha del punto de bifurcación (regla 6 de la tabla de equivalencias):

figura 1.1 dbe4

Paso 2. Aplicamos la propiedad de asociación en serie entre los bloques G2 y G3 y entre G2 y H1. Obtenemos:

figura 1.2 dbe4

Paso 3 . Aplicamos asociación en paralelo entre los bloques G4 y G2G3. Obtenemos:

figura 1.3 dbe4

Paso 4. Pasar el bloque G1 a la derecha del sumador aplicando la regla 4. Obtenemos:

figura 1.4 dbe4

Paso 5 . Intercambiar los puntos de suma a y b aplicando la regla 1. Obtenemos:

figura 1.5 dbe4

Paso 6. Aplicamos la regla 8 a la realimentación entre los bloques G1 y H1G2. Obtenemos:

figura 1.6 dbe4

Paso 7 . Aplicamos la propiedad de bloques en serie y simultáneamente la regla 8 de realimentación. Obtenemos:

figura 1.7 dbe4

Paso 8. Finalmente aplicamos la regla 8. Obtenemos:

figura 1.8 dbe4

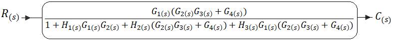
Del paso 8 se deduce que la función de transferencia G(s)=C(s)/R(s)  de la Figura 4 es:

figura 1.9 dbe4

ANEXO: Tabla de equivalencias del álgebra de bloques.

imagen

Te puede interesar:

  • Se resuelven ejercicios de reducir Diagramas de Bloques y Determinar la Función de Transferencia, con carácter de Urgencia. EN MENOS DE 24 HORAS (precio aprox. por cada ejercicio (o cada pregunta): 13.7 euros)
  • Clases Online: Si tienes alguna duda, Te Enseño este tema con paciencia y pedagogía. Podemos resolver ejercicios durante la clase (14.7 euros la hora)
  • Contacto: Prof. Larry, Whatsapp: +34747458738, dademuch@gmail.com
  • Otras áreas: Análisis Sistemas, Procesamiento de Señales, Simulación Matlab/Simulink, Sistemas de Control,
  • Modelo y Análisis Matemático de Sistemas Eléctricos, Electrónicos, Mecánicos (MRA), Electromecánicos…

Este curso está en continuo crecimiento, trabajamos diariamente para publicar semanalmente más artículos. Al suscribirte podrás contar con excelente material para estudiar y superar con éxito las demandas académicas.

Curso relacionado:

Artículos relacionados:

Función de Transferencia – Teoría

Diagrama de Bloques – Teoría

Diagrama de Bloques – Ejercicio resuelto 1

Fórmula de Mason – Ejercicio resuelto 1.

Fórmula de Mason – Ejercicio resuelto 2.

Diagrama de Bloques – Ejercicio resuelto 2.

Prof. Larry. Estudios:

Escuela de Ingeniería Electrónica de la Universidad Simón Bolívar, USB Valle de Sartenejas.

Escuela de Ingeniería Eléctrica de la Universidad Central de Venezuela, UCV CCs

error: Content is protected !!
Scroll al inicio