Para decidir si una señal x(t) está definida en potencia media o en energía, revisamos a continuación los siguientes criterios.
Criterios para señales de energía y de potencia.
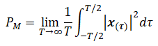
1. Una señal x es de potencia si y solo si su contenido de potencia promedio P es finita y mayor que cero (0 <Px< ∞), lo cual implica que su contenido de energía es infinita (Ex → ∞). Es el caso de las señales periódicas:
: Señal definida en potencia media (vatios)
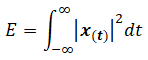
2. Una señal x es de energía si y solo si su contenido de energía E es finita (Ex< ∞), lo cual implica que su contenido de potencia es cero (Px= 0). Es el caso de las señales que tienen un inicio y un final (señales de duración limitada):
: Señal definida en energía (joules)
3. Una señal x que no satisface ninguna de las condiciones anteriores entonces no es una señal de potencia o de energía. Ejemplo, la función rampa.
4. Si se trata de una señal sinusoidal de amplitud A se puede demostrar que la potencia promedio es directamente:
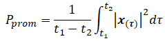
5. Se define potencia promedio como la potencia en un intervalo de tiempo:

Te puede interesar:
- Se resuelven ejercicios de Señales y Sistemas, con carácter de Urgencia. EN MENOS DE 24 HORAS (precio aprox. por cada ejercicio (o cada pregunta): 13.7 euros)
- Clases Online: Te Enseño este tema con paciencia y pedagogía. Podemos resolver ejercicios durante la clase (14.7 euros la hora)
- Contacto: Prof. Larry, Whatsapp: +34747458738, dademuch@gmail.com
- Otras áreas: Análisis Sistemas, Procesamiento de Señales, Simulación Matlab/Simulink, Sistemas de Control,
- Modelo y Análisis Matemático de Sistemas Eléctricos, Electrónicos, Mecánicos (MRA), Electromecánicos…
Te puede interesar:
Examen Resuelto SS1-1.
Considere 3 señales denominadas h1(t), h2(t) y h(t). La Gráfica SS1-1 muestra las tres señales.

Responda las siguientes preguntas:
- Escriba la expresión de h(t) utilizando las señales h1(t) y h2(t). Debe emplear transformaciones de la variable independiente necesarias.
- ¿Es h(t) una señal definida en potencia media o en energía? Justifique su respuesta y calcule cada una.
- Graficar dh(t)/dt. Obtenga su expresión analítica utilizando señales elementales.
- La señal z(t) se define como z(t)=-h(-2t+6). Graficar z(t).
Te invito a suscribirte para tener acceso completo.
Prof. Larry. Estudios:
Escuela de Ingeniería Electrónica de la Universidad Simón Bolívar, USB Valle de Sartenejas.
Escuela de Ingeniería Eléctrica de la Universidad Central de Venezuela, UCV CCs



