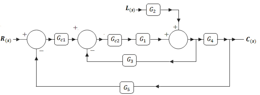
Ejercicio DB-5: Obtener la expresión para C(s) del diagrama de bloques de la Figura 5, empleando técnicas de reducción por álgebra de bloques.

Figura 5
Paso 1. Al resolver el ejercicio DB-5 por álgebra de bloques, aplicamos las reglas de la tabla de equivalencias.
Vea el resto de los pasos del ejercicio DB-5 en el siguiente link: SOLUCIÓN Ejercicio DB-5. Explicación paso a paso con la posibilidad de consultar cualquier duda al creador del contenido a través de Whatsapp: +34747458738, dademuch@gmail.com.
Te puede interesar:
- Se resuelven ejercicios de reducir Diagramas de Bloques y Determinar la Función de Transferencia, con carácter de Urgencia. EN MENOS DE 24 HORAS (precio aprox. por cada ejercicio (o cada pregunta): 13.7 euros)
- Clases Online: Si tienes alguna duda, Te Enseño este tema con paciencia y pedagogía. Podemos resolver ejercicios durante la clase (14.7 euros la hora)
- Contacto: Prof. Larry, Whatsapp: +34747458738, dademuch@gmail.com
- Otras áreas: Análisis Sistemas, Procesamiento de Señales, Simulación Matlab/Simulink, Sistemas de Control,
- Modelo y Análisis Matemático de Sistemas Eléctricos, Electrónicos, Mecánicos (MRA), Electromecánicos…
Este curso está en continuo crecimiento, trabajamos diariamente para publicar semanalmente más artículos. Al suscribirte podrás contar con excelente material para estudiar y superar con éxito las demandas académicas.
Curso relacionado:
Artículos relacionados:
Función de Transferencia – Teoría
Diagrama de Bloques – Teoría
Diagrama de Bloques – Ejercicios resueltos 1
Función de Transferencia – S. Mecánico – Ejercicios resueltos 1
Función de Transferencia – S. Eléctrico- Ejercicios resueltos 1
Prof. Larry. Estudios:
Escuela de Ingeniería Electrónica de la Universidad Simón Bolívar, USB Valle de Sartenejas.
Escuela de Ingeniería Eléctrica de la Universidad Central de Venezuela, UCV CCs


