En el siguiente ejercicio se determina la salida de un sistema LIT mediante el cálculo de la integral de convolución (método gráfico), basado en el conocimiento de la respuesta al impulso del sistema.
Ejercicio CV-1: Un sistema LIT de tiempo continuo genera la siguiente señal h(t) como respuesta al impulso:
\boldsymbol h(\boldsymbol t) = 5\boldsymbol e^{- \boldsymbol t}\boldsymbol u(\boldsymbol t)Considerando la señal x(t) como señal de entrada a dicho sistema:
\boldsymbol x\left(\boldsymbol t\right) = \left(\mathbf t - 2\right)^2\ldotp \left[\boldsymbol u\left(\boldsymbol t - 2\right) - \boldsymbol u\left(\boldsymbol t - 4\right)\right]
Calcular:
- Los instantes inicial y final de la señal de salida y(t) sin evaluar la integral de convolución;
- La salida y(t) ejecutando la integral de convolución (método gráfico).
- Graficar y Comprobar el resultado en Matlab.
Instantes inicial y final de la señal de salida y(t)
Se presentan varios casos de acuerdo con la duración de las señales que participan en la convolución:
Paso 1. Identificar que tipo de señales según su duración componen el proceso de convolución. Según su duración, las señales pueden ser del siguiente tipo: a) dos señales finitas; b) una señal finita y la otra infinita orientada hacia la derecha (o hacia la izquierda); c) dos señales infinitas orientas a la derecha (o a la izquierda); d) dos señales infinitas orientadas en direcciones opuestas.
Si dos señales x1 y x2 son finitas, de duración T1 y T2 respectivamente, el resultado de la convolución será una señal finita y de duración T=T1 + T2 . Los instantes inicial ti y final tf de la señal finita y serán: ti =t1i + t2i y tf = t1f + t2f. La convolución queda definida en cinco tramos (3 regiones de solapamiento).
Si una señal x1 es finita y la otra x2 infinita orientada hacia la derecha, el resultado de la convolución será una señal infinita y orientada a la derecha. Si durante la convolución mantenemos fija la señal infinita, el instante inicial ti de la señal infinita y será: ti =t1i + t2i . La convolución queda definida en tres tramos (2 regiones de solapamiento).
Si una señal x1 es finita y la otra x2 infinita orientada hacia la izquierda, el resultado de la convolución será una señal infinita y orientada a la izquierda. Si durante la convolución mantenemos fija la señal infinita, el instante final tf de la señal infinita y será: tf =t1f + t2f . La convolución queda definida en tres tramos (2 regiones de solapamiento).
Si dos señales x1 y x2 son infinitas orientadas a la derecha, el resultado de la convolución será una señal infinita y orientada a la derecha. El instante inicial ti de la señal infinita y será: ti =t1i + t2i . La convolución queda definida en dos tramos (1 región de solapamiento).
Si dos señales x1 y x2 son infinitas orientadas a la izquierda, el resultado de la convolución será una señal infinita y orientada a la izquierda. El instante final tf de la señal infinita y será: tf =t1f + t2f . La convolución queda definida en dos tramos (1 región de solapamiento).
Si dos señales x1 y x2 son infinitas de orientaciones opuestas, el resultado de la convolución será una señal infinita y orientada a ambos lados.
El ejercicio CV-1 consta de una señal finita x(t) y otra infinita h(t) orientada hacia la derecha. Es cierto que la señal h(t) tiende a cero pero nunca llega a ser totalmente cero, a medida que el tiempo se hace más grande. A continuación las gráficas de cada señal nos ayudan a visualizar los tiempos inicial y final de cada una de ellas.
Digamos que x(t) es la señal 1. Entonces:

\boldsymbol t_{1\boldsymbol i} = 2\boldsymbol s\boldsymbol ;\ \ \ \ \boldsymbol t_{1\mathbf f} = 4\boldsymbol s\boldsymbol ;
\boldsymbol t_{2\boldsymbol i} = 0\boldsymbol s\boldsymbol ;De acuerdo con la tipología explicada en la columna de al lado, el resultado de la convolución será una señal infinita y(t) orientada a la derecha. Si durante la convolución mantenemos fija la señal infinita, el instante inicial ti de la señal infinita y(t) será: ti =t1i + t2i
\boldsymbol t_{\boldsymbol i} = \boldsymbol t_{1\boldsymbol i} + \boldsymbol t_{2\boldsymbol i} = 2 + 0\ \ segundos\boldsymbol t_{\boldsymbol i} = 2\ \ \boldsymbol sPaso 2. Dibujar las componentes de la Integral de Convolución. Escribimos la ecuación de la salida y dibujamos sus componentes.
E Después de probar ambas opciones, seleccionamos la que arroja integrales más simples de resolver. Elegimos dejar fija la señal finita y desplazar la señal infinita. Por eso definimos la señal de salida y(t) de la siguiente manera:
\boldsymbol y(\boldsymbol t) = \int\limits_{- \mathbf \infty}^{\mathbf \infty}\boldsymbol x(\boldsymbol \tau )\boldsymbol h(\boldsymbol t - \boldsymbol \tau )\mathbf d\boldsymbol \tau Dibujamos primero la señal que queda fija, x(tau):
>> syms t
x(t) = piecewise(t < 2,0,2<=t<=4,(t-2)^2);
fplot(x(t),[-1 5], 'b', 'LineWidth',2)
title('x(τ)')
xlabel('τ')
Comentario: Matlab utiliza syms t por defecto...no podemos utilizar syms τ...pero debemos suponer esto, imaginar que en ves de t la variable independiente es tau.

Dibujamos luego la señal que se desplaza, h(-tau):
>> syms t
>> h(t) = piecewise(t < 0,0,0<=t,5*exp(-t));
>> fplot(h(-t),[-5 1], 'b', 'LineWidth',2)
>> title('h(-τ)')
>> xlabel('τ')

Desplazamos la señal h(-tau). Esto lo hacemos introduciendo una constante que provoca un desplazamiento a la derecha (si es positiva) o a la izquierda (si es negativa). En convolución se utiliza una constante positiva porque la intención es desplazar la gráfica a la derecha, y en este paso elegimos un valor que evite el solapamiento de ambas señales. Por ejemplo, t=1. Así h(t-tau)= h(1-tau), va a desplazar x(-tau) a la derecha.
>> syms t
>> h(t) = piecewise(t < 0,0,0<=t,5*exp(-t));
>> fplot(h(1-t),[-4 2], 'b', 'LineWidth',2)
>> title('h(1-τ)')
>> xlabel('τ')

En la Gráfica anterior es clave para saber determinar los límites de la integral, entender que El punto «t» es la esquina superior de la Gráfica de la señal h(t-tau) y es un punto ubicado en el eje horizontal, es decir, es un valor de tau.
Paso 3 .Definir los tramos. De acuerdo con la teoría del primer paso, «Si una señal x1 es finita y la otra x2 infinita orientada hacia la derecha… La convolución queda definida en tres tramos (2 regiones de solapamiento)»
1er tramo: t es menor que 2. En el primer tramo no existe solapamiento. Por lo tanto el producto interno de la integral de convolución es nulo:
\boldsymbol y(\boldsymbol t) = \int\limits_{- \mathbf \infty}^{\mathbf \infty}\boldsymbol x(\boldsymbol \tau )\boldsymbol h(\boldsymbol t - \boldsymbol \tau )\mathbf d\boldsymbol \tau = 0\ \ \ para \ t<2En la próxima gráfica observamos esta región, justo antes de solaparse ambas señales:
>> fplot(x(t),[-1 5], 'b', 'LineWidth',2)
>> hold on
>> fplot(h(2-t),[-1 5], 'b', 'LineWidth',2)
>> title('señales h(2-τ) y x(τ)')
>> xlabel('τ')
Comentario: se está utilizando el código de pasos anteriores

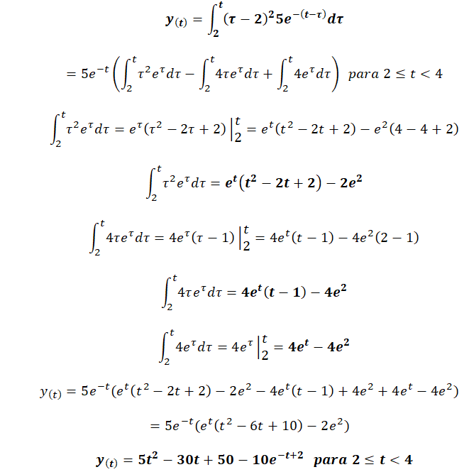
2do tramo: t es mayor o igual que 2 y menor a 4. En el segundo tramo ocurre solapamiento parcial. La gráfica siguiente nos ayuda a determinar los límites de la integral. La zona gris representa la zona de integración (t viaja desde 2 a 4):
\boldsymbol y(\boldsymbol t) = \int\limits_2^{\boldsymbol t}\boldsymbol x(\boldsymbol \tau )\boldsymbol h(\boldsymbol t - \boldsymbol \tau )\mathbf d\boldsymbol \tau = \int\limits_2^{\boldsymbol t}\left(\boldsymbol \tau - 2\right)^2\ldotp 5.e^{- (t - \tau )}\mathbf d\boldsymbol \tau \ \ \ \ para\ \ 2 \leq t < 4>> fplot(x(t),[-1 5], 'b', 'LineWidth',2)
>> hold on
>> fplot(h(3-t),[-1 5], 'b', 'LineWidth',2)
>> title('señales h(3-τ) y x(τ)')
>> xlabel('τ')

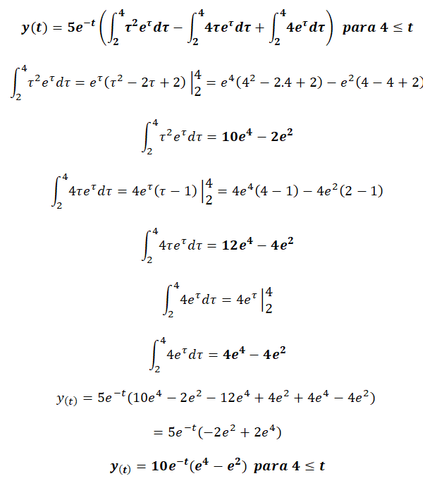
3er tramo: t es mayor o igual a 4. En el tercer tramo el solapamiento es total. La gráfica nos ayuda a determinar los límites de la integral (recordar que t viaja desde 4 hasta infinito). La zona gris representa la zona de integración (desde punto b a punto a):
\boldsymbol y(\boldsymbol t) = \int\limits_{\boldsymbol 2}^{\boldsymbol 4}\boldsymbol x(\boldsymbol t - \boldsymbol \tau )\boldsymbol h(\boldsymbol \tau )\mathbf d\boldsymbol \tau = \int\limits_{\mathbf 2}^{\mathbf 4}(\tau - 2)^25e^{- (t - \tau )}\mathbf d\boldsymbol \tau \ \ \ para \ 4 \leq \boldsymbol t>> fplot(x(t),[-1 6], 'b', 'LineWidth',2)
>> hold on
>> fplot(h(5-t),[-1 6], 'b', 'LineWidth',2)
>> title('señales h(5-τ) y x(τ)')
>> xlabel('τ')

Paso 4 . Calcular las integrales y Determinar y(t) .
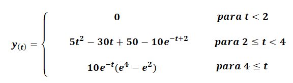
Expresamos y(t) como una función a trozos:

Calculamos la integral y la evaluamos en los diferentes límites:


Paso 5 . Expresar el resultado final, y(t) , como una función a trozos:

Paso 6 . Simular la respuesta en Matlab. Utilizando los datos del paso 5 el siguiente código procedemos a graficar la curva de la salida:
>> syms t
>> y(t) = piecewise(t < 2,0,2<=t<4,5*t^2-30*t+50-10*exp(-t+2),4<=t,10*exp(-t)*(exp(4)-exp(2)));
>> fplot(y(t),[-2 10], 'b', 'LineWidth',2)
>> title('y(t)=x(t)*h(t)')
>> xlabel('t')

Paso 7 . Demostrar la respuesta en Matlab. Utilizando el siguiente código procedemos a demostrar el resultado:
>> t = -2:0.01:10;
>> ancho_pulso=2;
>> p = rectpuls(t-3, ancho_pulso);
>> x=((t-2).^2).*p;
>> s = heaviside(t);
>> h=5*exp(-t).*s;
>> y=conv(h,x);
>> t2 = -4:0.01:20;
>> plot(t2, y)
>> title('y(t)=x(t)*h(t)')
>> xlim([-1, 12]);
Comentario: el hecho de duplicar las muestras en t2 (necesario para poder graficar) aumentará la amplitud por 100 (los valores en en el eje de las ordenadas estarán de 100 a 800). Podemos obviar este resultado. La forma de onda de la salida si que es relevante y es idéntica a la obtenida en el paso 6, por lo que queda demostrado el resultado obtenido en el paso 5.

Te puede interesar:
- Se resuelven ejercicios de reducir Diagramas de Bloques y Determinar la Función de Transferencia, con carácter de Urgencia. EN MENOS DE 24 HORAS (precio aprox. por cada ejercicio (o cada pregunta): 13.7 euros)
- Clases Online: Si tienes alguna duda, Te Enseño este tema con paciencia y pedagogía. Podemos resolver ejercicios durante la clase (14.7 euros la hora)
- Contacto: Prof. Larry, Whatsapp: +34747458738, dademuch@gmail.com
- Otras áreas: Análisis Sistemas, Procesamiento de Señales, Simulación Matlab/Simulink, Sistemas de Control,
- Modelo y Análisis Matemático de Sistemas Eléctricos, Electrónicos, Mecánicos (MRA), Electromecánicos…
Este curso está en continuo crecimiento, trabajamos diariamente para publicar semanalmente más artículos. Al suscribirte podrás contar con excelente material para estudiar y superar con éxito las demandas académicas.
Curso relacionado:
Artículos relacionados:
Función de Transferencia – Teoría
Diagrama de Bloques – Teoría
Diagrama de Bloques – Ejercicios resueltos 1
Función de Transferencia – S. Mecánico – Ejercicios resueltos 1
Función de Transferencia – S. Eléctrico- Ejercicios resueltos 1
Prof. Larry. Estudios:
Escuela de Ingeniería Electrónica de la Universidad Simón Bolívar, USB Valle de Sartenejas.
Escuela de Ingeniería Eléctrica de la Universidad Central de Venezuela, UCV CCs


