Examen de Sistemas de Control. Solución. Ejercicios resueltos.
PROBLEMA 1.1: Calcula la expresión de la salida v0(t) en función del tiempo para el circuito RLC de la Figura 1, ante una entrada vi(t)=u0(t) (escalón unitario) con R=2 Ω, L=1 H y C=1/5 F. Considere las condiciones iniciales iguales a cero.

Respuesta 1.1
1er. Paso: Obtener el modelo equivalente del circuito en el dominio transformado de Laplace. Calcular V0(s) utilizando divisor de voltaje:

Z_R = R = 2;\ \ \ Z_L = sL = s;\ \ \ Z_C = \frac{1}{sC} = \frac{5}{s}
V_0(s) = V_i(s)\frac{Z_L}{Z_R + Z_C + Z_L} = V_i(s)\frac{s}{2 + 5/ s + s}
V_0(s) = V_i(s)\frac{s^2}{s^2 + 2s + 5}
2do. Paso: Determinar la salida para una entrada escalón unitario y factorizar el denominador para aplicar el método de fracciones parciales:
Si la entrada es el escalón unitario, su transformada es 1/s. Sustituyendo esto en la ecuación del paso anterior, encontramos la salida para una entrada escalón unitario:
V_i(s) = \frac{1}{s};\rightarrow V_0(s) = \frac{s^2}{s^2 + 2s + 5} \times \frac{1}{s} = \frac{s}{s^2 + 2s + 5}
Hallamos las raíces del denominador, es decir, los polos de la salida:
s_{1,2} = \frac{ - 2 \pm \sqrt{4 - 20}}{2} = - 1 \pm 2j
Expresamos la salida en términos de sus polos:
V_0(s) = \frac{s}{(s + 1 - 2j)(s + 1 + 2j)}\Rightarrow
De la teoría de fracciones parciales para raíces complejas conjugadas, sabemos que:
\Rightarrow V_0(s) = \frac{s}{(s + 1 - 2j)(s + 1 + 2j)} = \frac{k}{s + 1 - 2j} + \frac{k^*}{s + 1 + 2j}
Dónde k es una constante compleja cualquiera y k* es su conjugada.
Hacemos la suma de fracciones del lado derecho:
\frac{s}{(s + 1 - 2j)(s + 1 + 2j)} = \frac{k(s + 1 + 2j) + k^*(s + 1 - 2j)}{(s + 1 - 2j)(s + 1 + 2j)}
Lo denominadores se cancelan y obtenemos:
s = k(s + 1 + 2j) + k^*(s + 1 - 2j)
3er. Paso: Determinar el valor de las constantes k y k*, luego expresar la salida V0(s) en término de sus fracciones parciales:
Elegimos por conveniencia un valor de la variable «s» que anule el factor k* en la ecuación anterior. Es decir:
s = - 1 + 2j
Al sustituir este valor obtenemos:
s = k(s + 1 + 2j) + k^*(s + 1 - 2j)\Rightarrow
\Rightarrow - 1 + 2j = k( - 1 + 2j + 1 + 2j) + k^*( - 1 + 2j + 1 - 2j)
Simplificamos:
- 1 + 2j = k(4j)
De donde obtenemos el valor de la constante k:
k = \frac{ - 1 + 2j}{4j} = \frac{2.24 < 116.57\degree }{4 < 90\degree } = 0.56e^{j26.57}\Rightarrow
Como sabemos que k*, es el conjugado de k :
\Rightarrow k^* = 0.56e^{- j26.57}
Con estos resultado volvemos a la ecuación de la salida V0(s) en término de sus fracciones parciales
V_0(s) = \frac{k}{s + 1 - 2j} + \frac{k^*}{s + 1 + 2j}
Y sustituimos los valores obtenidos para las constantes k y k*;
\Rightarrow V_0(s) = \frac{0.56e^{j26.57}}{s + 1 - 2j} + \frac{0.56e^{- j26.57}}{s + 1 + 2j}
4to. Paso: Aplicar la antitransformada de Laplace utilizando la Tabla de transformadas típicas. Obtener la expresión para la salida en el tiempo v0(t) del sistema eléctrico ante una entrada escalón unitario:
De acuerdo con la tabla de transformadas típicas de Laplace, si x(t) es una función cualquiera con la forma exponencial siguiente, su transformada es:
x(t) = e^{- at}u(t)\Rightarrow {\mathcal{L}}\left\{x(t)\right\} = X(s) = \frac{1}{s + a}
Donde la constante a es un número complejo. Utilizaremos esta transformada típica en sentido inverso.
{\mathcal{L}}^{- 1}\left\{V_0(s)\right\} = v_0(t)
Es decir:
v_0(t)={\mathcal{L}}^{- 1}\left\{\frac{0.56e^{j26.57}}{s + 1 - 2j} + \frac{0.56e^{- j26.57}}{s + 1 + 2j}\right\}
Aplicaremos antitransformada a cada sumando de V0(s) . Notar que en la siguiente ecuación, la constante a =1-2j, Notar además que pasamos del dominio transformado «s» al dominio del tiempo:
{\mathcal{L}}^{- 1}\left\{\frac{0.56e^{j26.57}}{s + 1 - 2j}\right\} =\left(0.56e^{j26.57}\right)e^{- (1 - 2j)t}u(t)
Notar que en la siguiente ecuación, la constante a =1+2j,
{\mathcal{L}}^{- 1}\left\{\frac{0.56e^{-j26.57}}{s + 1 + 2j}\right\} =\left(0.56e^{-j26.57}\right)e^{- (1 + 2j)t}u(t)
Con estos resultados podemos calcular la expresión de v0(t) :
v_0(t)=\left(0.56e^{j26.57}\right)e^{- (1 - 2j)t}u(t)+\left(0.56e^{-j26.57}\right)e^{- (1 + 2j)t}u(t) \Rightarrow
Sacando factor común obtenemos que:
\Rightarrow v_0(t) = 0.56(e^{j26.57}e^{- (1 - 2j)t} + e^{- j26.57}e^{- (1 + 2j)t})u(t)
La fórmula de Euler nos dice que:
\cos \theta = \frac{1}{2}\left(e^{j\theta} + e^{- j\theta}\right)
Reordenando convenientemente la anterior expresión de v0(t) para aplicar la Fórmula de Euler obtenemos que:
v_0(t) = 0.56\left(e^{j(26.57 + 2t)} + e^{- j(26.57 + 2t)}\right)e^{- t}u(t)
Aplicando Euler y considerando a θ=26.57+2t , vemos que:
\left(e^{j(26.57 + 2t)} + e^{- j(26.57 + 2t)}\right)=2\cos (26.57 + 2t)
En conclusión, la expresión de la salida v0(t) en función del tiempo para el circuito RLC de la Figura 1 es:
\boldsymbol v_0(\boldsymbol t) = 1.12\mathbf c\mathbf o\mathbf s(26.57 + 2\boldsymbol t)\boldsymbol e^{- \boldsymbol t}\boldsymbol u(\boldsymbol t)
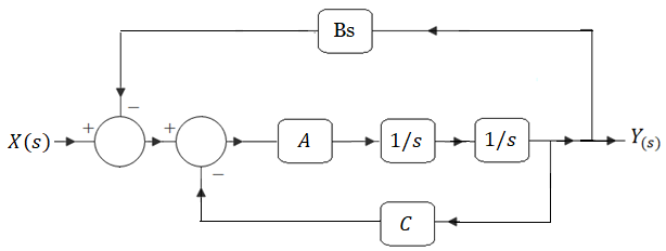
PROBLEMA 1.2: Diseña el sistema de control de la Figura 2, determinando el valor de las constantes A, B y C (suponga una acción proporcional de control) para que la forma de la curva de la respuesta y(t) a una entrada x(t) escalón unitario sea la que muestra la Gráfica 1.


Respuesta 1.2
1er. Paso: Utilizando las reglas del álgebra de bloques que definimos en Diagrama de Bloques, simplificaremos el diagrama de la Figura 2 hasta determinar la Función de Transferencia Y(s)/X(s) :
Transformamos el sumador en dos sumadores en serie en el orden que más conviene para aplicar la regla 8. Aplicamos la regla 7 a la rama de la ganancia B:

Aplicamos la regla 2 a la asociación en serie:

Aplicamos la regla 8 a la realimentación negativa:
\boldsymbol G_{\boldsymbol e1}(\boldsymbol s) = \frac{\frac{\boldsymbol A}{\boldsymbol s^2}}{1 + \frac{\boldsymbol A}{\boldsymbol s^2} \times C} = \frac{A}{s^2 + AC}

Aplicamos la regla 8 a la realimentación negativa:
\boldsymbol G_{\boldsymbol e2}(\boldsymbol s) = \frac{\frac{A}{s^2 + AC}}{1 + \frac{A}{s^2 + AC} \times Bs} = \frac{A}{s^2 + ABs + AC}

De donde obtenemos que la Función de Transferencia del sistema es:
\frac{\boldsymbol Y(\boldsymbol s)}{\boldsymbol X(\boldsymbol s)} = \frac{\boldsymbol A}{\boldsymbol s^2 + \boldsymbol A\boldsymbol B\boldsymbol s + \boldsymbol A\boldsymbol C}
Se observa gracias al resultado anterior que el sistema de la Figura 2 es un sistema de segundo grado y por tanto, podemos utilizar la forma estándar de La Función de Transferencia de un Sistema de Segundo Orden :
\boldsymbol G(\boldsymbol s) = \frac{\boldsymbol K\boldsymbol \omega_{\boldsymbol n}^2}{\boldsymbol s^2 + 2\boldsymbol \zeta \boldsymbol \omega_{\boldsymbol n}\boldsymbol s + \boldsymbol \omega_{\boldsymbol n}^2}
Dónde:
\boldsymbol K: Ganancia \ Estática;\ \ \ \ \boldsymbol \omega_{\boldsymbol n}:Frecuencia\ natural\ no\ amortiguada;\ \ \ \boldsymbol \zeta: Coeficiente\ de\ Amortiguamiento
Para repasar la teoría ver: Sistemas de Segundo Orden.
2do. Paso: Utilizamos la forma estándar de la Función de Transferencia de un sistema de segundo orden y la Gráfica 1 para determinar el valor de los parámetros del sistema:
La Gráfica 1 nos indica que la respuesta transitoria presenta una sobreoscilación Mp de 16.3% ante una entrada escalón unitario. Utilizamos la siguiente fórmula para despejar el valor del Coeficiente de Amortiguamiento ζ :
\boldsymbol M_{\boldsymbol p} = \boldsymbol e^{- \frac{\boldsymbol \pi }{\boldsymbol t_{\boldsymbol g}(\boldsymbol \theta )}}\Rightarrow \mathbf l\mathbf n\left(\boldsymbol M_{\boldsymbol p}\right) = - \frac{\boldsymbol \pi }{\boldsymbol t_{\boldsymbol g}(\boldsymbol \theta )}\Rightarrow
\Rightarrow \boldsymbol t_{\boldsymbol g}(\boldsymbol \theta ) = - \frac{\boldsymbol \pi }{\mathbf l\mathbf n\left(\boldsymbol M_{\boldsymbol p}\right)}
\% \boldsymbol M_{\boldsymbol p} = 16.3\% \Rightarrow \boldsymbol M_{\boldsymbol p} = 16.3 \times \frac{1}{100} = 0.163\Rightarrow
\Rightarrow \boldsymbol t_{\boldsymbol g}(\boldsymbol \theta ) = - \frac{\boldsymbol \pi }{\mathbf l\mathbf n\left(0.163\right)} = 1.7318
\Rightarrow \boldsymbol \theta = \boldsymbol t_{\boldsymbol g}^{- 1}(1.7318) \approx 60\degree
\zeta = cos(\theta ) = {\mathrm{\cos }}\left(60\degree \right)
Coeficiente\ de\ Amortiguamiento:\ \ \ \boldsymbol \zeta = 0.5
Debido a que la entrada es el escalón unitario, el valor de la Ganancia Estática K coincide con el valor de la salida en estado estable, es decir, 0.25 de acuerdo con la Gráfica 1:
Ganancia\ Estática:\ \ \ \boldsymbol K= 0.25
Para determinar La Frecuencia Natural ωn utilizamos la fórmula para tiempo pico tp que vale 45.34 ms de acuerdo con la Gráfica 1 :
t_p = \frac{\pi }{\omega_n\sqrt{1 - \zeta^2}}\Rightarrow \omega_n = \frac{\pi }{t_p\sqrt{1 - \zeta^2}}
\omega_n = \frac{\pi }{(45.34 \times 10^{- 3})\sqrt{1 - (0.5)^2}}
Frecuencia\ natural\ no\ amortiguada:\ \ \ \boldsymbol \omega_{\boldsymbol n} = 80\ \boldsymbol r\boldsymbol a\boldsymbol d/ \boldsymbol s
3er. Paso: Una vez calculados los valores de los parámetros del sistema, sustituimos dichos valores en la forma estándar de la Función de Transferencia de un sistema de segundo orden. Luego igualamos esta forma estándar con la Función de Transferencia obtenida en el paso 1 y despejamos los valores para las constantes A, B y C .
Sustituimos los valores calculados en la forma estándar de la Función de Transferencia del sistema de segundo orden:
\frac{\boldsymbol Y(\boldsymbol s)}{\boldsymbol X(\boldsymbol s)} =\frac{\boldsymbol K\boldsymbol \omega_{\boldsymbol n}^2}{\boldsymbol s^2 + 2\boldsymbol \zeta \boldsymbol \omega_{\boldsymbol n}\boldsymbol s + \boldsymbol \omega_{\boldsymbol n}^2}=\frac{(0.25)(80)^2}{\boldsymbol s + 2(0.5)(80)\boldsymbol s + (80)^2}
\frac{\boldsymbol Y(\boldsymbol s)}{\boldsymbol X(\boldsymbol s)}= \frac{1600}{\boldsymbol s + 80\boldsymbol s + 6400}
Igualamos la forma estándar con la Función de Transferencia obtenida en el paso 1:
\frac{1600}{\boldsymbol s + 80\boldsymbol s + 6400}=\frac{\boldsymbol A}{\boldsymbol s^2 + \boldsymbol A\boldsymbol B\boldsymbol s + \boldsymbol A\boldsymbol C}
Finalmente, despejamos los valores de las constantes A, B y C y cumplimos con lo exigido por el problema 1.2:
\boldsymbol A= \boldsymbol 1600
AB=80\Rightarrow\boldsymbol B= \boldsymbol 0.05
AC=6400\Rightarrow\boldsymbol C= \boldsymbol 4
PROBLEMA 1.3: Dada la función de transferencia directa G(s) para un sistema de control con realimentación unitaria. Se pretende controlar un sistema motor-reductor para un brazo robótico:
\boldsymbol G(\boldsymbol s) = \frac{1}{\boldsymbol s^2 + 3\boldsymbol s + 2}
- Si se busca un tiempo de asentamiento de 0.9 s y un sobrepaso máximo del 5%, ¿Cuál debería ser la posición de los polos dominantes del sistema en el plano complejo?
- Diseñe el regulador PID que consiga cumplir con los requerimientos temporales anteriores.
Respuesta 1.3
1er. Paso: Aplicamos la teoría aprendida en Sistemas de Segundo Orden para calcular los polos dominantes o polos deseados según las especificaciones de diseño dadas en términos del tiempo de asentamiento y el sobrepaso máximo:
Ya habíamos descrito en teoría que los polos para un sistema de segundo orden subamortiguado son complejos conjugados cuya forma es la siguiente:
\boldsymbol s_{1,2} = - \boldsymbol \sigma \pm\boldsymbol j\boldsymbol \omega_{\boldsymbol d}
Dónde:
\boldsymbol \sigma = \boldsymbol \zeta \boldsymbol \omega_{\boldsymbol n\boldsymbol ;}\ \ \ \ \boldsymbol \omega_{\boldsymbol d} = \mathbf \omega_{\mathbf n}\sqrt{1 - \boldsymbol \zeta^2}
De los datos que aporta el enunciado (tiempo de asentamiento ts y sobrepaso máximo Mp) obtenemos el valor de σ mediante el siguiente procedimiento:
t_s = \frac{\pi }{\sigma }\Rightarrow \sigma = \frac{\pi }{t_s} = \frac{\pi }{0.9\ s}\Rightarrow \boldsymbol \sigma = 3.49\ rad/ s
Luego, obtenemos el valor de ζ utilizando el Mp :
\boldsymbol M_{\boldsymbol p} = \boldsymbol e^{- \frac{\boldsymbol \pi }{\boldsymbol t_{\boldsymbol g}(\boldsymbol \theta )}}\Rightarrow \sigma = \ln (M_p) = - \frac{\pi }{t_g\theta }\Rightarrow t_g\theta = - \frac{\pi }{\ln (M_p)}
t_g\theta = - \frac{\pi }{\ln (0.05)} = 1.048\Rightarrow \theta = t_g^{- 1}(1.048) = 46.36\degree
\zeta = cos(46.36\degree )\Rightarrow \boldsymbol \zeta = 0.69
Teniendo σ y ζ podemos obtener ωn mediante:
\omega_n = \frac{\sigma }{\zeta } = \frac{3.49}{0.69}\Rightarrow \boldsymbol \omega_{\boldsymbol n} = 5.06
Con estos datos obtenemos ωd :
\omega_d = \omega_n\sqrt{1 - \zeta^2} = (5.06)\sqrt{1 - (0.69)^2\Rightarrow }\boldsymbol \omega_{\boldsymbol d} = 6.44
En conclusión, los polos dominantes deseados (Pds) para un sistema de segundo orden subamortiguado que cumpla con tiempo de asentamiento ts y sobrepaso máximo Mp del enunciado, son:
\boldsymbol s_1 = - 3.49 + \boldsymbol j3.66
\boldsymbol s_2 = - 3.49 - \boldsymbol j3.66
2do. Paso: Para diseñar el regulador PID, aplicaremos el algoritmo presentado en Diseño del PID mediante LGR :
Paso 2.1: Dibujar el LGR y localizar los Pds . En base a los requerimientos de diseño dados en términos del tiempo de asentamiento y el sobrepaso máximo, ya hemos calculado en el paso anterior los Pds :
\boldsymbol s_1 = - 3.49 + \boldsymbol j3.66
\boldsymbol s_2 = - 3.49 - \boldsymbol j3.66
El sistema a controlar es un sistema de segundo orden un Tipo 0:
\boldsymbol G(\boldsymbol s) = \frac{1}{\boldsymbol s^2 + 3\boldsymbol s + 2}
La función G(s) tiene dos polos en s= – 1 y s= – 2:
G(s) = \frac{1}{\left(s + 1\right)\left(s + 2\right)}
G(s) es la Función de Transferencia Directa de un sistema de control a lazo cerrado con realimentación unitaria como el de la Figura 1:

La Figura 1 representa el sistema de control antes de añadir el controlador PID (antes de la compensación). Para dibujar el LGR necesitamos conocer G(s)H(s), la Función de Transferencia del sistema de control a lazo abierto. En este caso, como la realimentación es unitaria , obtenemos que G(s)H(s)=G(s).
Para dibujar el LGR manualmente ver El Lugar Geométrico de las Raíces . Por economía de espacio utilizaremos el siguiente código en la consola de Matlab:
>> G=tf([1],[1 3 2]);
>> rlocus(G)
>> title('LGR ejer1.3 exa1 antes de la compensación')
El LGR lo podemos ver en la Figura 2. Es evidente que los polos deseados s1 y s2 no pertenecen al LGR del sistema de control de la Figura 1.

Paso 2.2: Incorporamos Acción Necesaria: Proporcional-Derivativa. El LGR de la Figura 2 nos demuestra que los polos deseados s1 y s2 no pertenecen al LGR. Debemos cumplir con los requerimientos de respuesta transitoria, por lo que es necesaria la acción derivativa para obligar al LGR a incluir los polos deseados. De acuerdo con Controlador PID, para aplicar la acción proporcional-derivativa (PD), el controlador deberá tener la siguiente función de transferencia:
Controlador\ PD:G_c(s) = K(s + a)
La acción derivativa del controlador PID añade un cero en s = – a . La Figura 3 muestra como añadir el controlador PD al sistema de la Figura 1:
Añadimos este controlador al sistema de la Figura 1:

Debemos ajustar la constante a mediante el criterio del argumento, hasta que el LGR pase por los Polos dominantes. Ajustar luego K mediante el criterio del módulo.
En la Figura 4 aparecen los factores para aplicar el criterio del argumento (para repasar este tema ver El Lugar Geométrico de las Raíces ):

Paso 2.3: Calcular el valor de la constante «a» aplicando el criterio del argumento. En la Figura 4 observamos el punto de prueba “s” cercano al polo dominante deseado s1:
s = - 3.49 + j3.66
Los polos ubicado en s = – 1 y s = – 2 pertenecen al LGR del sistema. Es importante notar que la función de transferencia a lazo abierto cambia (ahora es el producto Gc(s)G(s)) .
Calcularemos el valor de a mediante El Criterio del Ángulo:
\angle G_c(s)G(s) = \pm 180\degree \ldotp (2q + 1);\ \ \ \ q = 0,1,2.\ldotp \ldotp
De todas las opciones posibles que nos ofrece la ecuación anterior seleccionamos la que más nos convenga:
\angle G_c(s)G(s) = \sum polos - \sum ceros = 180\degree \Rightarrow
Tomando en cuenta las notaciones asignadas a los ángulos de la Figura 4:
\Rightarrow (\alpha_1 + \alpha_2) - \beta = 180\degree
Utilizando la Figura 4 obtenemos el valor de cada ángulo (Los ángulos de las variables complejas sobre el LGR y que inician en los polos y ceros en lazo abierto, se miden en sentido contrario a las manecillas del reloj):
\alpha_1 = 180\degree - t_g^{- 1}\left(\frac{3.66}{3.49 - 1}\right) = 180\degree - 55.77\degree\Rightarrow \boldsymbol \alpha_1 = 124\ldotp 23\degree
\alpha_2 = 180\degree - t_g^{- 1}\left(\frac{3.66}{3.49 - 2}\right) = 180\degree - 67.85\degree \Rightarrow \boldsymbol \alpha_2 = 112\ldotp 15\degree
En consecuencia:
\Rightarrow \beta = 124.23\degree + 112.15\degree - 180\degree = 56\ldotp 38\degree
t_g\left(\beta \right) = t_g\left(56.38\degree \right) = 1.50
t_g\left(\beta \right) = \frac{3.66}{\boldsymbol a - 3.49} = 1.50\Rightarrow \boldsymbol a = 5.92
Conociendo el valor de «a» sabemos que el controlador PD tiene la siguiente FT:
Controlador\ PD:G_c(s) = K(s + 5.92)
Es decir, la Función de Transferencia a lazo abierto es:
G_c(s) G(s)= K\frac{(s + 5.92)}{(s + 1)(s + 2)}
La Función de Transferencia a lazo abierto nos permite dibujar el LGR del sistema de control después de la compensación:
>> G=tf([1],[1 3 2]);
>> Gc=tf([1 5.92],[1]);
>> K=1;
>> GH=K.*Gc*G;
>> rlocus(GH)
>> title('LGR ejer1.3 exa1 después de la compensación PD')

Un zoom nos permite comprobar que los Pds ahora pertenecen al LGR, y que en esos puntos se cumple el sobrepaso solicitado (overshoot 4.98%):

Paso 2.4: Ajustar el valor de la constante K aplicando el Criterio del Módulo. Ajustar K es colocar el sistema en el punto adecuado del LGR tal que las raíces del sistema a lazo cerrado estén localizadas en el punto resaltado en la Figura 6. El siguiente script de Matlab nos permite ver cuáles son las raíces del polinomio característico (los polos del sistema a lazo cerrado) cuando K=1.
>> G=tf([1],[1 3 2]);
>> Gc=tf([1 5.92],[1]);
>> K=1;
>> GH=K.*Gc*G;
>> sys=feedback(GH,1);
>> damp(sys)
Pole Damping Frequency
(rad/seconds)
-2.00e+00 + 1.98e+00i 7.11e-01 2.81e+00
-2.00e+00 - 1.98e+00i 7.11e-01 2.81e+00
De acuerdo con el resultado anterior, cuando K=1 los polos del sistema a lazo cerrado son s1= – 2 +j1.98 y s2= – 2 -j1.9 .
Para que las raíces del polinomio característico coincidan con los Pds , vamos a ajustar la Ganancia K mediante el Criterio del Módulo. Para esto se consideran los módulos de las distancias entre cada cero y cada polo al punto de prueba “s”, tal como lo representa la Figura 7:

El Criterio del Módulo expresa que:
\boldsymbol G_{\boldsymbol c}(\boldsymbol s)\boldsymbol G(\boldsymbol s) = - \frac{1}{\boldsymbol K}
De dónde obtenemos que:
K = \frac{1}{\left|G_c\left(s\right)G\left(s\right)\right|} = \frac{\left|s + 1\right| \times \left|s + 2\right|}{\left|s + 5.92\right|} = \frac{d_{p1} \times d_{p2}}{d_c}\Rightarrow
K = \frac{\sqrt{\left(3.49 - 1\right)^2 + \left(3.66\right)^2} \times \sqrt{\left(3.49 - 2\right)^2 + \left(3.66\right)^2}}{\sqrt{\left(5.92 - 3.49\right)^2 + \left(3.66\right)^2}}\Rightarrow \boldsymbol K = 3.9831
En el siguiente script vemos cuáles son los polos del sistema a lazo cerrado cuando K=3.9831 :
>> G=tf([1],[1 3 2]);
Gc=tf([1 5.92],[1]);
>> K=3.9831;
>> GH=K.*Gc*G
GH =
3.983 s + 23.58
---------------
s^2 + 3 s + 2
>> sys=feedback(GH,1);
>> damp(sys)
Pole Damping Frequency
(rad/seconds)
-3.49e+00 + 3.66e+00i 6.90e-01 5.06e+00
-3.49e+00 - 3.66e+00i 6.90e-01 5.06e+00
El resultado anterior muestra que seleccionando la Ganancia K=3.9831 los polos del sistema a lazo cerrado son s1= – 3.49 +j3.66 y s2= – 3.49 -j3.66 , que son los polos dominantes deseados. Utilizando el script anterior podemo averiguar el valor del tiempo de asentamiento (settling Time 1.02 s). No es exactamente lo que se solicitaba pero resulta una aproximación aceptable.
>> stepinfo(sys)
RiseTime: 0.2698
SettlingTime: 1.0201
En conclusión, el regulador PID necesario para cumplir con los requerimientos temporales de diseño, tiene la siguiente Función de Transferencia:
G_c = 3.9831(\mathbf s + 5.92)
La siguiente simulación muestra la respuesta del sistema de control a la entrada escalón unitario, antes y después de la compensación PD:
>> sys2=feedback(G,1);
>> step(sys,sys2)

Te puede interesar:
- Se resuelven ejercicios de Determinar la Función de Transferencia, Sistemas de Control, con carácter de Urgencia. EN MENOS DE 24 HORAS (precio aprox. por cada ejercicio (o cada pregunta): 13.7 euros)
- Clases Online: Si tienes alguna duda, Te Enseño este tema con paciencia y pedagogía. Podemos resolver ejercicios durante la clase (14.7 euros la hora)
- Contacto: Prof. Larry, Whatsapp: +34747458738, dademuch@gmail.com
- Otras áreas: Análisis Sistemas, Procesamiento de Señales, Simulación Matlab/Simulink, Sistemas de Control,
- Modelo y Análisis Matemático de Sistemas Eléctricos, Electrónicos, Mecánicos (MRA), Electromecánicos…
Este curso está en continuo crecimiento, trabajamos diariamente para publicar semanalmente más artículos. Al suscribirte podrás contar con excelente material para estudiar y superar con éxito las demandas académicas.
Curso relacionado:
Artículos relacionados:
Prof. Larry. Estudios:
Escuela de Ingeniería Electrónica de la Universidad Simón Bolívar, USB Valle de Sartenejas.
Escuela de Ingeniería Eléctrica de la Universidad Central de Venezuela, UCV CCs